C&C. New Narratives! Numbskulls In Charge!
March 14 | Posted by mrossol | American Thought, Big Govt, Childers, Democrat Party, Liberal Press, Stupidity, US Courts, WokeSource: NEW NARRATIVES ☙ Tuesday, March 14, 2023 ☙ C&C NEWS
🗞*WORLD NEWS AND COMMENTARY* 🗞
🔥 The corporate media took the day off from reporting on the financial apocalypse yesterday, toned down the overwrought rhetoric, and ran stories encouraging folks to take a broader view of the woke banking sector’s historic incompetence.
For example, the Washington Post ran a meditative story yesterday about how both cratered banks specialized in high tech, a sector experiencing some “growing pains” at the moment. So it’s probably just a tech problem and not a general banking problem. WaPo also published some reassuring infographics meant to show how relatively small the two failed banks were, even though they were the second- and third-largest financial failures in US history:
Instead of doom and gloom, yesterday all three major papers — the New York Times, the Wall Street Journal, and The Washington Post — replaced bank failure news with optimistic cover stories about the government’s happy report about inflation. Oh, inflation is still racing, but the good news is it is racing SLOWER than it was in the last report, according to highly-accurate government figures, if highly-accurate means “almost nobody believes it.”
So don’t worry. The Ministry of Information has the narrative back under control.
🔥 Speaking of the tech sector’s growing pains, the New York Times ran an awkward story yesterday headlined, “Meta to Lay Off Another 10,000 Workers.” The subheadline explained, “It would be the tech company’s second round of cuts since November. Mark Zuckerberg, its chief executive, has declared 2023 the ‘year of efficiency.’”
“The Year of Efficiency” is one way to describe it, I guess.
Zuckerberg ripped off a stinker of a memo to employees yesterday announcing all the new pink slips, not to mention an additional 5,000 open job postings that will be closed without being filled, for 15,000 total reductions in force. “This will be tough and there’s no way around that,” Zuckerberg wrote. The announcement follows 10,000 firings back in November.
All together, Meta has reduced its payroll by 25,000 positions over the last four months — over 20% of the social media giant’s global workforce. If I were a diversity manager at Facebook, I think I’d be polishing up my resumé this morning. Just saying.
I suppose it could be a new focus on radical efficiency, who knows. Twitter fired almost 80% and is doing great. But I have a different theory. The Twitter files, which exposed Facebook’s collusion with the deep state to censor vast numbers of Americans, suggest Facebook has forgotten who its customers are. It seems to have gotten confused, mistakenly viewing the users of its product as the product itself, and haplessly believing that the federal government was its only customer.
Those days are over, boys! Most feds appear to be sprinting away from social media adventurism to avoid getting dragged into the Congressional hearing blast zone.
Meanwhile, delicate genius Mark Zuckerberg has pinned the social media giant’s hopes on virtual meeting spaces, or some kind of virtual reality experience that virtually simulates a bad LSD trip, so that you can take a surreal vacation without even leaving your designated 15-minute city zone.
The whole Metaverse thing is actually not perfectly clear, but it’s going to be great. Probably. Well, maybe. Anyway, good luck with that one, Mark.
🔥 Glenn Beck published his podcast interview with Governor DeSantis this weekend, and among other interesting things, the Governor explained the intense pressure that the federal government placed on governors in 2020, trying to convince them to lock America down for the Wuhan flu:
The White House task force was just hammering me for the first few months because they wanted me to be clamping down harder. So I asked Deborah [Birx]: when in American history has this ever been done, and what were the results? Because I kinda feel like, we’re flying blind here, and we may be doing things that might be damaging. And she said, it’s kind of our own science experiment that we’re doing in real time.’
Sounds about right. DeSantis then explained that it was the George Floyd riots that triggered his change in course to start ignoring the federal government and its goofy public health experts:
[T]hat didn’t sit well with me. I mean, you’re a citizen of a Republic. You’re not a guinea pig … You remember the George Floyd riots, the epidemiologists… because they were telling people, you have to stay in your homes! … They were so mad at Florida for allowing people on the beach and this kind of stuff. … Two thousand epidemiologists wrote a letter saying we do not condemn these protests because of covid, indeed we think they’re vital for public health because they’re fighting racism. That’s when I knew.
DeSantis explained his profound disdain for most public health officials, calling them sick ideologues:
This public health clan of people, they are sick. They are ideologically captured, and these are not people that should be anywhere near the levers of power. And so I, basically from that point on I would exclusively listen to a very handful of people. You know, Bhattacharya from Stanford, Martin Kulldorf from Harvard, Sunetra Gupta from Oxford, and my Surgeon General, Joe Ladapo who we brought in from UCLA.
He’s right, of course. DeSantis meant that most public health officials are mentally sick, which is true, but far too many public health officials are LITERALLY sick:
Not to mention the wonderful example of Claire Poche, senior health adviser for the Oregon Health Authority, who gave a televised covid death briefing while dressed as a clown:
There’s no way I could make up anything crazier than that perfect example of the state of public health science in this country. Her picture should be in the dictionary next to the entry for “public health.” The lame explanation was that Claire was just costumed for Halloween, just having a little fun, loosen up … but COME ON.
DeSantis was also right that these germaphobic nutjobs have no business being in charge of other people. They can barely manage themselves. One of the greatest mistakes of the pandemic was suddenly handing these grotesque public health numbskulls the ability to order other people around because “emergency.”
Seriously, though, this is an area where folks can make a big difference at the local level: these pandemic officials need to be strongly encouraged to find more productive employment in a different field where the amount of damage they can do is carefully limited. Maybe like studying fungi at the North Pole.
🔥 As best I can tell, a federal judge approved releasing some of the video that was played to Jacob Chansley’s jury during his sentencing. But due to some kind of mixup, the journalists only received the sealed video this week. Get ready, it’s going to make you mad again:
In the video, prisoner Chansley — who corporate media spitefully calls “the QAnon Shaman” — can be seen politely complying with and even thanking police who asked him and other Trump supporters to exit the Capitol. It is difficult to square this video with democrats’ wild claims of massive violence and an insurrection rivaling the worst excesses of the Civil War and qualitatively “worse than 9/11.”
In yet another horrifying example of the DOJ’s two-tiered justice system, over two years later many peaceful Trump supporters remain jailed in DC under third world conditions — on trespassing charges.
Elon Musk joined the debate Friday, coining the slogan “Free Jacob Chansley.”
Now that the House is back in Republican hands, things are starting to move. But of course, justice shouldn’t require any political party to be in charge. I mean plain old justice, not “gender justice” or whatever.
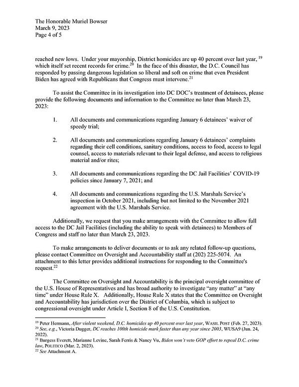
🔥 The Washington Times ran a story Friday headlined, “GOP Lawmakers Ask D.C. Mayor to Let Lawmakers See Jail Conditions for Jan. 6 Detainees.”
On Thursday, the new House Oversight Committee sent a strongly-worded letter to Washington DC mayor Muriel “the” Bowser.




Among other things, the letter explained that in 2021, a federal judge found appalling human rights abuses among the J6 detainees, and the DOJ promptly ordered an investigation. But the DC Department of Corrections refused to let US Marshalls enter the jail, and apparently that’s basically where things stand. Despite a report stating that the J6 prisoners would be relocated to a normal facility, nothing ever happened.
They should have been immediately released.
Read these three paragraphs from the Oversight Committee’s letter to Mayor Bowser:
I’m sure you all have many questions about the legal implications, which are profound, but before even getting to that: Where has the corporate media been for two years? Just imagine for a moment if the maltreated prisoners were not Trump supporters, but were liberal protestors arrested for torching a federal building during the George Floyd riots or something. Can you imagine how the corporate press would be howling 24 x 7, relentlessly hounding the DOJ, officials at the DC Department of Corrections, and the appalling Mayor Bowser?
Corporate media is useless or worse. Trump called them the “Enemy of the People.”
The letter gives Bowser two weeks to provide documents and access to the prisoners. We’ll see.
🔥 Meanwhile, Naomi Wolf published an apology letter on her Substack Thursday, apologizing for believing corporate media’s January 6th narrative:
It’s a start. The truth about J6 is slowly seeping out.
🚀 Yesterday, The Washington Post ran a gloomy article headlined, “Ukraine Short of Skilled Troops and Munitions as Losses and Pessimism Grow.” The depressing story begins with this melancholy paragraph:
The quality of Ukraine’s military force, once considered a substantial advantage over Russia, has been degraded by a year of casualties that have taken many of the most experienced fighters off the battlefield, leading some Ukrainian officials to question Kyiv’s readiness to mount a much-anticipated spring offensive.
How could this be? Corporate media has ASSURED US that our hundreds of billions in war support and matériel had helped turn the tide, as heroic Ukrainian defense forces taught the Russians a lesson they’ll never forget. So, what’s happening? I don’t mean what’s happening to the Proxy War, I mean what’s happening to the narrative?
The WaPo even admitted the inconvenient fact that, despite all the glowing praises for Ukraine’s military, nobody really knows how many of its soldiers have been lost, since the Ukrainians won’t say, raising a tiny fragment of a doubt and giving the WaPo some cover for later when things go sideways:
Ukraine keeps its running casualty numbers secret, even from its staunchest Western supporters.
It got worse. The paper quoted a battalion commander from Ukraine’s 46th Air Assault Brigade, identified only by his call sign, Kupol, who is clearly not super enthusiastic:
“[T]here are only a few soldiers with combat experience,” Kupol added. “Unfortunately, they are all already dead or wounded.”
Gosh.
Kupol worried about the blowback for giving reporters a frank assessment, while describing going to battle with newly-drafted soldiers who’ve never thrown a grenade, who readily abandon their positions under fire, and who lack confidence with firearms. The exhausted battalion commander cited a critical shortage of ammunition: “You’re on the front line,” Kupol said. “They’re coming toward you, and there’s nothing to shoot with.”
WaPo’s reporter explained that Kupol’s opinion is not an outlier:
Ukrainian soldiers report being outnumbered and having less ammunition.
It’s not just soldiers, either. According to the WaPo, military leadership in Ukraine is downright depressed:
Such grim assessments have spread a palpable, if mostly unspoken, pessimism from the front lines to the corridors of power in Kyiv, the capital.
After describing some officials’ high hopes for a Spring counter-offensive against the Russians, the article dumped ice water all over the idea:
“If you have more resources, you more actively attack,” the senior official said. “If you have fewer resources, you defend more. We’re going to defend. That’s why if you ask me personally, I don’t believe in a big counteroffensive for us. I’d like to believe in it, but I’m looking at the resources and asking, ‘With what?’ Maybe we’ll have some localized breakthroughs.”
“We don’t have the people or weapons,” the senior official added. “And you know the ratio: When you’re on the offensive, you lose twice or three times as many people. We can’t afford to lose that many people.”
The downhearted article makes you wonder what game the Washington Post is playing. Having always been a reliable source of pro-war propaganda, the paper’s about-face is out of step with the its previous cheerleading.
Is the WaPo trying to create a sense of desperation in advance of a Congressional authorization for more war money? If so, it could backfire: Why dump more money into a losing cause? Or, is the new tone signaling a change in US policy, perhaps providing an off-ramp?
For our pro-Ukrainian friends, I take no pleasure in the bad report. I don’t believe it anyway; the Washington Post prints what it is told to print, not the truth. The situation for Ukraine is likely better or worse than the article suggests, who knows? But at some point, we may need to revisit what I suggested at the beginning of this little adventure in global politics: that average Ukrainians would have been better off negotiating a deal with Russia instead of fighting to the last man.
Anyway, this article combined with other negative war pieces this week, suggest a new narrative is brewing. I’m not sure yet, but I think it may have something to do with this:
🔥 This morning, Florida’s Department of Business Regulation filed a complaint seeking to revoke the Miami Hyatt’s liquor license for hosting an all-ages Christmas drag show, after being formally warned in late December:
Progress! Florida is protecting kids.
Have a terrific Tuesday! I’ll see you again tomorrow for more.
Join C&C in moving the needle and changing minds. I could use your help getting the truth out and spreading optimism and hope, if you can: https://www.coffeeandcovid.com/p/-learn-how-to-get-involved-
Twitter: @jchilders98.
Truth Social: @jchilders98.
MeWe: mewe.com/i/coffee_and_covid.
C&C Swag! www.shopcoffeeandcovid.com
Emailed Daily Newsletter: https://www.coffeeandcovid.com










Leave a Reply
You must be logged in to post a comment.